The objectives of this study were to determine the results of the analysis of single and double outdoor badminton men’s matches and to determine the relationship between technical and tactical aspects in a study organized by the BWF (Badminton Word Federation), on a sand surface. Twenty men’s singles matches were recorded using video cameras and analysed with a Dartfish video analysis software package. Along with this, percentages of use of technical elements were analysed by comparing the different modalities. For the single format Lob, Clear, Drop, Smash, Drive were used, different from the double format that used Lob, Clear, Drop, Smash, Drive. The study confirmed the applicability of computerized notation analysis to determine the characteristics of Outdoor Badminton on sand.
Key words
- outdoor badminton
- notational analysis
- technique
- competition
Badminton appeared in Asia and Europe more than 2000 years ago (Tan et al., 2016). Badminton is a racket sport played by two or four players on a rectangular court (Lees, 2003; Tan et al., 2016), characterized by intermittent efforts of high intensity and short duration (Abián-Vicén et al., 2012; Cabello and Gonzalez-Badillo, 2003; Valldecabres et al., 2017).
Technical variables have been studied in professional badminton (Cabello and González-Badillo, 2003; Faude et al., 2007; Leong and Krasilshchikov, 2016; Zhang et al., 2013), and its analysis allows to identify the most decisive actions in this sport (Valldecabres et al., 2017). Researchers have studied the stroke average (Abián et al., 2014; Laffaye et al., 2015; Ming et al., 2008), stroke frequency (Alcock and Cable, 2009; Ming et al., 2008) and types of strokes used (Chiminazzo et al., 2018; Laffaye et al., 2015). On the other hand, match performance has been examined using time variables (Phomsoupha and Laffaye, 2015) as it has been shown that the results in professional badminton depend on game time, effective game time, set time, rally time and rest time between rallies (Abián-Vicén et al., 2018; Chiminnazzo et al., 2018; Ming et al., 2008; Phomsoupha and Laffaye, 2015; Laffaye et al., 2015; Valldecabres et al., 2017). It should be noted, however, that most current studies relate to indoor badminton games and for this reason it is hard to find studies that analyze technical and timing characteristics in outdoor badminton.
Mixed methods combine qualitative and quantitative elements as research strategies (Johnson et al., 2004; Teddlie and Tashakkori, 2003). They have been used in sports such as basketball, soccer, fencing and judo (Camerino et al., 2012; DeSchiver, 2007; Iglesias and Angular, 2012; Readdy et al., 2014; Sarmento et al., 2014). Within this type of research we find the observational methodology (Anguera, 1979) which allows to collect the data directly from the participants due to an accessible method such as recording (Anguera and Hernández-Mendo, 2014). Video analysis techniques can help understand the game itself, as they allow to evaluate the actions during the competition. These techniques are very important in most racket sports (Abian-Vicen et al., 2013). Notational analysis is one of the methods that can be applied within the observational methodology to determine the characteristics of a badminton game (Hughes et al., 2007) and research exists that uses it to investigate these characteristics in this sport (Abdullahi and Coetzee, 2017).
The objective of this study was to analyze and compare technical and timing variables in professional players between the individual and double modalities in outdoor badminton.
Male individual matches (n = 38) analyzed were played by 8 professional players (age 33 ± 6.5 years, body height 181.5 ± 3.5 cm and body mass 70.3 ± 8.6 kg) of the Spanish National Badminton Team. They were played in the 1 vs. 1 (n = 20) and 2 vs. 2 (n = 18) modalities on a sand surface. All matches were played according to the official badminton rules.
The recording process did not affect the spontaneous behavior of players/teams due to it being non-invasive and a common way to monitor competitions. The study was approved by the Bioethics Commission of the University of Alicante, and complied with the ethical principles stated by the Declaration of Helsinki.
An observational design was used with a notational analysis, technical variables were analyzed and organized by the BWF (Badminton Word Federation). The registered technical variables were (Chiminazzo et al., 2018):
The footage was shot with two cameras Sony DCR-cx 280 with a focal length of 29.8 - 953.6 mm and a resolution of 1920 x 1080 p / 50 fps. The cameras were placed at the bottom of the court. The court (13.40 x 6.10 m) was registered in its entirety to ensure a complete view of all the actions. Variables were analyzed with a Dartfish 9.0 program (Guo, 2018) by two observers graduated in Sports Science with two years of experience in performance analysis.
Both observers completed specific training of the actions to register. The intra-observer reliability was calculated in both observers using the mathematical formula of Hughes (2004):
where V1 are the frequencies of the first operator display and V2 the frequencies of the second operator, Vaverage displays the average of the visualization frequencies and mod is the module.
The reliability on the intra-observer analysis obtained a margin for error of less than 5%, reaching acceptable margins for error in the display and analysis (James et al., 2007). For the inter-observer analysis, Kappa calculations were carried out using SPPS software (v.18.0), reaching an inter-observer concordance value of 0.95 (Landis and Koch, 1977).
Descriptive (mean and standard deviation) and inferential tests were performed using SPPS software (v.18.0). The Kolmogorov-Smirnov test was used to analyze normality of data. The Mann Whitney U procedure with a post hoc Bonferroni test (
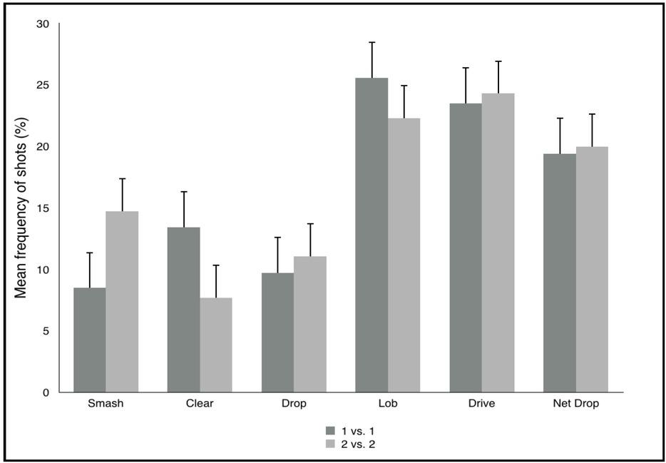
Figure 1 shows the stroke distribution used in 1 vs. 1 and 2 vs. 2 modalities. The lob (Z = -5.097;
Figure 1
Average frequencies of shots in 1 vs. 1 and 2 vs. 2 modalities.

Figure 2 shows the average frequency of the type of the service used in each modality. A short serve presented a greater use in both modalities (
Figure 2
Average frequencies of the serve’s type in 1 vs. 1 and 2 vs. 2 modalities.

Net errors committed with the highest proportion may be observed in Figure 3. The smash (38% and 34%), drive (29% and 31%) and net drop (22% and 19%) were most frequent (
Figure 3
Net error in 1 vs. 1 and 2 vs. 2 modalities.

Figure 4 shows the efficiency in the last stroke of the rally. The most used strokes to end were the smash, drive and lob in 1 vs. 1 modality. In 2 vs. 2 modality, it was the smash that was most frequently used. The greater proportion of effectiveness of strokes in 1 vs. 1 was found in the serve (58%), smash (83%) and drop (71%). In 2 vs. 2 modality they were the serve (61%), smash (66%) and net drop (56%).
Figure 4
Efficacy of the shot’s type in 1 vs. 1 and 2 vs. 2 modalities.

The objective of this study was to analyze and compare technical variables between the individual and double modalities in outdoor badminton in professional players. There are no previous studies that have analyze technical variables in outdoor badminton and played on sand, thus any comparison made will be with the Olympic modality. Notational analysis on technical variables has been used in a multitude of studies with different objectives within the game, different levels of competition and specific aspects of the game (Abian-Vicen et al., 2012; Abián et al., 2014; Ming et al., 2008).
In our study, the most used strokes in 1 vs. 1 and 2 vs. 2 modalities were the lob (25% and 23%, respectively) and drive (22% and 24%, respectively). Chiminazzo et al. (2018) showed that the most frequent hits were the lob, drop, smash, clear and drive respectively. Ming et al. (2008) also found that the lob was the most used hit in badminton players. Abdullahi and Coetzee (2017) presented the drive as a stroke more frequently used per game in the African Badminton Championship. Tong and Hong (2000) showed the lob, smash, net drop and clear as the most frequently used strokes. Pearce (2002) also recorded as preferred strokes the lob, clear and drop. The use of strokes used on sand did not differ from those found in traditional match situations.
For the serve, we found that a short serve was more frequent than a deep serve in both modalities. Valldecabres et al. (2015) showed similar results indicating a short serve as more common, while reflecting that a deep serve was an infrequent stroke. The type of a serve used may be influenced mainly by the number of players and not so much by the area used.
The most frequently encountered net errors were the smash (38% and 34%), drive (29% and 31%) and net drop (22% and 19%), in both 1 vs. 1 and 2 vs. 2 modalities. Abian-Vicen et al. (2013) showed the smash and net drop in men and women as strokes that resulted in most common unforced errors.
Among the registered strokes that were most used to end a rally were the smash and drive (Abian-Vicen et al., 2013). Chen et al. (2011) also showed that the smash was the preferred stroke to win points. Our results do not differ from those as they indicate the smash as the last most recorded stroke. As with the serve, the use of a type of a stroke to finish was due to the action itself or the number of players and not related to the surface.
The fundamental characteristic of this study is the type of surface used to play. Exercise on a sand surface requires physiological and biomechanical mechanisms different from other surfaces (Pinnington and Dawson, 2001; Pinnington et al., 2005). The energy expenditure is greater due to an increase in kinematic patterns and muscle activation, in addition to a reduction in muscle-tendon efficiency (Zamparo et al., 1992). In the same way, a sand surface modifies stride length and increases the race cadence (Pinnington et al., 2005). Surface change can vary technical variables used with respect to those studied in indoor competitions, but, as we have suggested previously, the action itself and the number of players can influence the type of a stroke used to a greater degree.
The study shows technical characteristics of outdoor badminton on a sand surface. Registers of the variables do not show significant differences with matches played on the official surface. Players adapt to the new surface, and the number of participants along with the moment of the game influence the type of a stroke used to a greater degree, although it would also be necessary to study the importance of wind on the game in outdoor badminton. More studies are needed with a larger sample and register of variables to observe the impact of outdoor conditions on the game.
Figure 1

Figure 2

Figure 3

Figure 4

Impact of Centre-of-Mass Acceleration on Perceived Exertion, the Metabolic Equivalent and Heart Rate Reserve in Triathlete Spin Cycling: A Pilot Study The Effect of Inspiratory Muscle Training on the Pulmonary Function in Mixed Martial Arts and Kickboxing Athletes Thigh Muscularity and Sprinting Performance of National‐Level Long‐Distance Runners Day‐to‐day Variation of the Heart Rate, Heart Rate Variability, and Energy Expenditure during FIFA 11+ and Dynamic Warm‐up Exercises A Log-Linear Analysis of Efficiency in Wheelchair Basketball According to Player Classification The Impact of Internal Compensatory Mechanisms on Musculoskeletal Pain in Elite Polish Sitting Volleyball Players – A Preliminary Study Effects of Dual Task Interference on Biomechanics of the Entire Lower Extremity During the Drop Vertical Jump The Flywheel Device Shaft Shape Determines Force and Velocity Profiles in the Half Squat Exercise Agreement Between Kinovea Video Analysis and the Open Barbell System for Resistance Training Movement Outcomes Did the Absence of Crowd Support During the Covid-19 Pandemic Affect the Home Advantage in Brazilian Elite Soccer? Interacting Constraints and Relative Age Effect in Elite Cross-Country Skiers and Freeskiers Sports Injuries Among Players of the Polish National Team in Amputee Football in the Annual Training Cycle Evaluation of the Isometric and Dynamic Rates of Force Development in Multi-Joint Muscle Actions Validity of Performance Assessment Methods in Elite Paracanoeists Seasonal Training Load Monitoring Among Elite Level Soccer Players: Perceived Exertion and Creatine Kinase Variations Between Microcycles Ultrasound Shear Modulus and Thickness of Lateral Abdominal Muscles in Different Contractile States in Relation to Self‐ Reported Hip/Groin Problems in Youth Soccer Players Interactive Three-Phase Structure for Table Tennis Performance Analysis: Application to Elite Men’s Singles Matches Effect of Inter-Repetition Rest vs. Traditional Resistance Training on the Upper Body Strength Rate of Force Development and Triceps Brachii Muscle Architecture A Systematic Review of the Effects of Different Resistance Training Volumes on Muscle Hypertrophy Are Teams whose Players are More Committed to the Team More Resilient? The Role of Intra-Group Conflict A Systematic Review of Long‐Distance Triathlon Musculoskeletal Injuries Variations in Internal and External Training Load Measures and Neuromuscular Performance of Professional Soccer Players During a Preseason Training Period Small-Sided Soccer Games with Larger Relative Areas Result in Higher Physical and Physiological Responses: A Systematic and Meta-Analytical Review Post‐Exercise Cold‐ and Contrasting‐Water Immersion Effects on Heart Rate Variability Recovery in International Handball Female Players Mental Toughness Characteristics of Male University Athletes in Relation to Contextual Factors
