This investigation examined the effects of a 12-week mini-basketball training program (MBTP) on physical fitness and social communication in preschool children with autism spectrum disorders (ASD). The study applied a quasi-experimental design. Fifty-nine preschool children aged 3-6 years with ASD were assigned to either a MBTP group (n = 30) or a control group (n = 29). Participants in the MBTP group received a scheduled mini-basketball training program (5 sessions per week, forty minutes per session) for twelve consecutive weeks, while the control group was instructed to maintain their daily activities. The physical fitness test and the parent-reported Social Responsiveness Scale Second Edition (SRS-2) test were performed before and after the intervention. Results indicated that the 12-week MBTP facilitated performance in the physical fitness test, particularly in speed-agility and muscular strength abilities. Additionally, children in the MBTP group demonstrated improvement in SRS-2 performance in social awareness, social cognition, social communication, and autistic mannerisms, whereas no such changes were found in the control group. It may be concluded that the 12-week MBTP could improve physical fitness and social communication in preschool children with ASD, and thus the use of physical exercise intervention as a therapeutic tool for preschoolers with ASD is recommended.
Key words
- mini-basketball
- physical fitness
- social communication
- preschool children
- autism spectrum disorders
- quasi-experimental
According to the USA Centers for Disease Control and Prevention (CDCP) in April 2018, the prevalence of Autism Spectrum Disorder (ASD) has raised from 1/5000 in 1975 to 1/59 (Baio et al., 2018). The increasing prevalence of ASD represents a major public health challenge. Impairment in social communication predominates among one of the core diagnostic features of ASD (American Psychiatric Association, 2013), including deficits in social-emotional reciprocity, non-verbal communicative behaviors, as well as developing, maintaining, and understanding relationships (Müller and Fishman, 2018). Notably, ASD children with social communication impairment may demonstrate lower physical activity levels, a more sedentary lifestyle, and much worse exercise tolerance compared to normal developing counterparts (Must et al., 2014; Pan and Frey, 2006). Bedford et al. (2016) have previously reported that early motor disabilities are often predictive of later social communication impairment in ASD. A previous study has revealed that physical fitnessdisability is associated with social communication impairment in children with ASD (Tyler et al., 2014). The association highlights the importance of rehabilitation in physical fitness and social communication for ASD (American Psychiatric Association, 2013). Consequently, a variety of behavioral and psychosocial treatments are sought by families, yet there is little consensus on which of them are most effective (Sharda et al., 2018).
Compared with other treatment methods, lower cost, no side effects, and easier administration have been recognized as advantages of physical exercise, which has become an alternative rehabilitation method for individuals with ASD. Previous reviews have been conducted regarding the impact of physical activity or exercise intervention on children and adults with ASD and all reported promising results (Bremer et al., 2016; Lang et al., 2010; Petrus et al., 2008; Sorensen and Zarrett, 2014; Sowa and Meulenbroek, 2012). Apart from improvements in physical fitness (Pitetti et al., 2007; Todd and Reid, 2006), improvements in social-communication have also been reported in children with ASD after swimming and aqua aerobics (Pan, 2010), horseback riding (Bass et al., 2009; Gabriels et al., 2012), Kata techniques training (Movahedi et al., 2013) and leisure activity programs (Garcia-Villamisar and Dattilo, 2011). However, to date, the majority of studies in the field of social-communication have recruited school-aged participants (> 7 years old) or adults with high-functioning autism for investigation. There have been few studies focusing on preschool children (3-6 years old) with ASD. Children with ASD have shown different social communication impairment at different stages of growth (Zhao and Fan, 2017). Preschool children, in particular, do not often engage in social settings, reducing opportunities for social-communicative development that can impair their quality of life and is of great concern to their caregivers. Therefore, there is a growing consensus that early intervention is extremely important and it will directly affect the prognosis of children with ASD (Wang and Wang, 2014).
To address these gaps in the area, the present study focused on preschool children with ASD. To the best of our knowledge, no studies on training programs dedicated to preschool children with ASD have been published. Thus, our research team consisting of experts from multiple disciplines, such as pediatrics, psychology, sport sciences, and physical education, designed the present mini-basketball training program (MBTP) to provide more comprehensive support for children with ASD. Since one of the core characteristics of ASD is social communication impairment, physical activity is often overlooked in this population. This study aimed to understand the effects of a 12-week MBTP on social communication and physical fitness in preschool children with ASD. The main hypothesis was that preschool children with ASD who participated in the 12-week MBTP would show improvements in physical fitness and social communication compared to children who did not receive the MBTP. The success of the study would provide evidence for an effective, inexpensive, easy-to-administer and relatively non-specialized intervention that may be scaled in varied settings across cultures, addressing the need for globally applicable intervention models for ASD in preschool-aged children.
Ninety-four children aged 3–6 years were recruited from the Yangzhou Chuying Child Development Center and Starssailor Education Institute (Yangzhou, P. R. China). Participants were excluded if: (1) they had participated in basketball training or regular physical exercise in the past 6 months; (2) had one or more co-morbid psychiatric disorders; (3) had a complex neurological disorder (e.g., epilepsy, phenylketonuria, fragile X syndrome, tuberous sclerosis); (4) presented visual and auditory disorders; (5) had a medical history of head trauma; (6) presented any medical condition that might limit the exercise intervention.
Thirty-five children were excluded due to above-mentioned reasons or declined to participate. Eligible participants from the Starssailor Education Institution were as assigned to the MBTP group (n = 30) , while participants from the Chuying Child Development Center were chosen as a control group (n = 29). Finally, only thirty participants completed the entire experiment, while twenty-nine dropped out in the present study (Figure 1).
Figure 1
Participant flow characteristics.

The study presents a quasi-experimental design, with the group defined as the between-subject factor and the time point as the within-subject factor. Eligible children were assigned either to a MBTP group or a control group. Before the intervention began, the detailed demographics of each child had been obtained. Additionally, parent-reported on SRS-2, CSHQ, CEBQ, and assessor-conducted physical fitness test outcomes were collected. To introduce the MBTP to all parents and children with ASD, a workshop was held.
This study was conducted between October and December 2018 in Yangzhou (P. R. China) with ethics approval from the Ethics and Human Protection Committee of the Affiliated Hospital of the Yangzhou University. This study has been registered in the Chinese Clinical Trial Registry (ChiCTR1900024973). Written informed consent was obtained from the participants’ parents/guardians. The personal details of each child were not revealed in the present study; a videotape or photos of the training sessions will be used for teaching or presentation purposes, but the children’s and their parents’ faces were blurred on the videos/photos so as not to be recognized.
All participants followed rehabilitation (ABA, Floor Time, RDI, TEACCH, etc.) in two institutions. On this basis, the MBTP group had an additional mini-basketball session, while the control group did not. The duration of the MBTP was 12 weeks in total. Each session was conducted by two professional physical education teachers in each institution. At least one parent of the participating children was required to join the class and accompany their child during the training session. The intervention was implemented as prescribed and supervised by the healthcare providers biweekly.
In the post-test, each participant completed the physical fitness test conducted by the same assessors in the same place. The participant’s parent completed the SRS-2. All parent/legal guardian report measures were rated by a person consistent for each participant. Finally, participants and their parents/legal guardians received fair remuneration for their involvement in the experiment.
The mini-basketball training program (MBTP) was adapted from previous studies (Bagherly et al., 2012; Lambert et al., 2016; Zhu et al, 2017). The MBTP was mainly carried out in a collective class, which provided a lot of interaction and communication for children with ASD. Parents were encouraged to join the class and accompany their child during the session, in which children benefited from social interaction with their peers, teachers and were given the constant attention of their parents.
All of the training prescriptions were structured to achieve particular benefits that would be related to physical fitness and social communication. The MBTP comprised one session per day, five days per week for 12 consecutive weeks (60 sessions in total). Each session lasted 40 min and comprised the following four stages: (a) a 5 min warm-up; (b) 20 min basic basketball skill learning; (c) 10 min basketball game, and (d) a 5 min cool-down.
The MBTP was designed to include various levels of difficulty so that teachers could administer the session at appropriate levels for children. This might also motivate children to progress to higher levels in the course of the training program. The 12-week MBTP was divided into three phases to achieve different targets:
To arouse children’s interest in mini-basketball, and standardize classroom routines in children and their parents, the main content was interesting and simple basketball training. At this stage children learned standard behavior and classroom routines such as taking turns, waiting and obeying.
To improve children’s mini-basketball skills and physical fitness, the main content was physical fitness training (shuttle running, leapfrogging, duck walking, etc.), basic basketball skills (dribbling, passing, shooting, etc.). Additionally, peer coordination training (passing and catching the ball, relay racing, etc.) was used to stimulate children’s social communication behavior.
To improve children’s cooperative abilities, social skills, and collectivization, the main content was basketball group games such as a basketball-dribbling relay, basketball-passing relays, basket-moving shooting, etc.
The participants’ demographics (age, gender, body mass and height, and BMI) were obtained at baseline (Table 1). The autism severity level of participants was confirmed using the Childhood Autism Rating Scale (CARS) (Schopler et al., 1980) and a detailed clinical assessment report was provided. Additionally, we found that social communication was associated with sleep disorders and eating behaviors in children with ASD. To ensure all participants’ homogenization, sleep problems and eating behavior were taken into consideration as confounding variables and were evaluated at baseline. Sleep problems were assessed using the Children’s Sleep Habits Questionnaire (CSHQ) (Owens et al., 2000), a parent-reported questionnaire designed as a screening instrument for sleep disorders. It has been validated for preschool children with ASD and has a high degree of correspondence (Goodlin-Jones et al., 2008). The children’s eating style was assessed by a parent-report Child Eating Behavior Questionnaire (CEBQ) (Wardle et al., 2001).
Participant demographic characteristics (M ± SD).
| Variable | Control group | MBPT group |
|---|---|---|
| N | 15 | 15 |
| Gender (boys/girls) | 14/1 | 12/3 |
| Age (years) | 4.56 ± 0.84 | 5.03 ± 0.64 |
| BMI (height/weight2) | 16.48 ± 1.87 | 15.70 ± 1.33 |
| CARS CARS: Childhood Autism Rating Scale. | 38.73 ± 3.78 | 40.33 ± 6.33 |
| CSHQ CSHQ: Children’s Sleep Habits Questionnaire. | 58.13 ± 12.08 | 56.13 ± 5.02 |
| CEBQ CEBQ: Child Eating Behavior Questionnaire. | 54.27 ± 19.97 | 52.07 ± 9.69 |
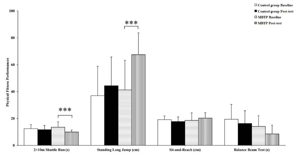
Children’s physical fitness was assessed by a China’s manual of physical fitness (General Administration of Sport of China, 2003), which comprises the measurements of body mass and height to assess anthropometry, the 2×10 meter shuttle run test for speed-agility, standing long jump tests for muscular strength, the sit-and-reach test for flexibility and the balance beam test for balance. All participants completed the physical fitness test conducted by assessors in the autism institutes.
For the shuttle run, two parallel lines were drawn on the floor 10 m apart. Participants ran back and forth as fast as possible crossing each line with both feet every time. This test was performed twice, covering a total distance of 20 m (2 × 10 m). The best of two attempts was recorded (s) for further analysis.
For the standing long jump, the participant stood behind the starting line, with feet together, pushed off vigorously and jumped forward as far as possible. The distance was measured from the take-off line to the point where the back of the heel nearest to the take-off line landed on the mat or non-slippery floor. The test was repeated three times, and the best score was retained (cm).
During the sit-and-reach test, the participant sat on the floor with the legs held straight by an assessor, and bent forward slowly and reached as far as possible. There was a bench with the measurement scale in front of the participant whose hands were on the top of the bench, and the maximum reach was measured. The best result of the two attempts was recorded for further analysis (cm).
For the balance beam test, participants stood on the starting point facing the balance beam (length 3 m, width 10 cm, height 30 cm) with their arms flat on the side. When children heard the ‘start’ command, they moved forward. The tester started the stopwatch when children started and stopped it when they crossed the finish line. The test was repeated twice, and the best score was retained. If the score exceeded 30 s or the child was unable to complete the test, the score was recorded as 30 s.
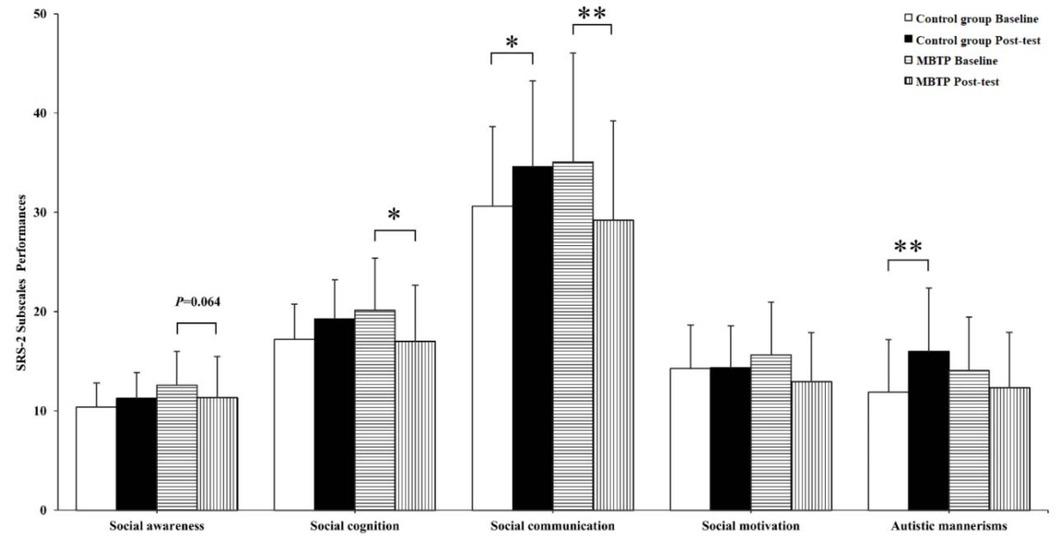
The Social Responsiveness Scale Second Edition (SRS-2) was used to measure changes in the severity of social communication impairment of participants in both groups (Constantino and Gruber, 2005). The SRS-2 was a 65-item rating scale that measured symptoms indicative of autism spectrum disorders. Each of the 65 items was rated on a 4-point frequency scale ranging from 1 (Not True) to 4 (Almost Always True). It was a parent-and/or teacher’s reported measure of children’s social impairment in naturalistic social settings that could be completed in 15 min. Questions were the same in both the parent and teacher forms of the SRS-2. It generated scale scores for specific symptom domains (social awareness, social cognition, social communication, social motivation, and autistic mannerisms), as well as a total score that served as an index of severity of social impairment in ASD. Higher total scores on the SRS-2 indicated greater severity of social impairment. The SRS-2 manual reported internal consistency (Cronbach’s alpha) for the total score for boys as 0.93, and test-retest reliability as 0.85, with 17 months between testing. In the present study, parent-reported behavioral outcomes were shown on the SRS-2.
Our sample size was determined using G*Power 3.1.9.2 (Erdfelder et al., 2009) and assumed a medium effect size (Cohen’s
A two-way mixed randomized controlled trial design was employed with group and time as independent variables. To ensure homogeneity in potential confounds between the MBTP and the control group, an analysis of independent samples using a
Assessment at baseline consisted of detailed demographics and diagnostic reports (Table 1). Participants did not differ at baseline in age [
Physical fitness and the SRS-2 performances (
| Variable | Control Group (n = 15) | MBTP Group (n = 15) | ||
|---|---|---|---|---|
| Baseline | Posttest | Baseline | Posttest | |
| SRS-2 T-score | 84.33 ± 19.93 | 95.47 ± 22.30 | 97.53 ± 24.97 | 82.80 ± 27.83 |
| Social awareness | 10.40 ± 2.41 | 11.27 ± 2.60 | 12.60 ± 3.397 | 11.33 ± 4.15 |
| Social cognition | 17.20 ± 3.55 | 19.27 ± 3.91 | 20.13±5.26 | 17.00 ± 5.68 |
| Social communication | 30.60 ± 8.05 | 34.60 ± 8.65 | 35.07 ± 10.99 | 29.20 ± 10.00 |
| Social motivation | 14.27 ± 4.39 | 14.33 ± 4.23 | 15.67 ± 5.30 | 12.93 ± 4.94 |
| Autistic mannerisms | 11.87 ± 5.29 | 16.00 ± 6.37 | 14.07 ± 5.36 | 12.33 ± 5.58 |
| 2 × 10 m shuttle run (s) | 12.40 ± 3.06 | 11.69 ± 3.20 | 13.56 ± 3.97 | 9.95 ± 1.49 |
| Standing long jump (cm) | 37.00 ± 21.86 | 44.33 ± 21.37 | 41.2 ± 22.14 | 67.47 ± 16.16 |
| Sit-and-reach (cm) | 19.17 ± 2.73 | 17.70 ± 3.40 | 18.58 ± 5.58 | 20.23 ± 4.07 |
| Balance beam test (s) | 19.40 ± 11.02 | 16.28 ± 9.45 | 14.12 ± 7.97 | 8.48 ± 6.60 |
A two-factor analysis of variance of the 2 × 10 m shuttle run demonstrated a significant main effect of time [
Figure 2
Performances for physical fitness assessment in particular time points (baseline vs. post-test) and group (control group vs. MBPT group).

For the SRS-2 total score, there was no significant difference between the main effect of time [
Figure 3
Performances for the SRS-2 at particular time points (baseline vs. post-test) and for a given group (control group vs. MBPT group).

Figure 4
Performances for SRS-2 subscales at particular time points (baseline vs. post-test) nd for a given group (control group vs. MBPT group).

The present study examined the effect of a 12-week MBTP on physical fitness and social communication in children with ASD. With the continued employment of fundamental movement skill training and playing games in the MBTP, the main findings revealed that the MBTP facilitated performance in speed-agility and increased muscle strength. Additionally, children with ASD in the MBTP group demonstrated improvements of specific social communication performances in social awareness, social cognition, social communication, and autistic mannerisms, whereas no influence was found in such performances in the control group. Although significant interaction effects were also revealed in other sub-indexes of physical fitness and social communication performances (i.e., sit-and-reach, balance beam test, and social motivation), no training effects were found, suggesting that mini-basketball training sensitivity was limited in these aspects.
In the speed-agility and muscle strength tests increments in ASD children receiving the MBTP were found. The increments observed in physical fitness were consistent with previous studies which had demonstrated improvements in physical fitness after regular exercise. Mini-basketball studies had provided supporting evidence regarding the considerable impact of the basic mini-basketball training on gross motor skills in children (Bagherly et al., 2012). A similar ASD study found that an exergame program could improve muscle strength and agility in children (Hilton et al., 2014). Since mini-basketball was the main content of the training program in the present study, it comprised plenty of practice in basketball with speed-agility and muscle strength e.g. basic mini-basketball skills as well as proper footwork and movement training.
Although the children’s speed-agility and muscle strength improved through the MBTP, no improvements were observed for balance and flexibility. However, previous studies found that ASD can benefit from balance training programs to improve balance and postural control (Cheldavi et al., 2014). The results may be related to fewer balance and flexibility training sessions in the present program. For flexibility performance, Pan (2011) provided evidence that an aquatic program could promote flexibility for ASD children. This finding, however, is inconsistent with the present results. The results indicated that the sit-and-reach test produced a ‘ceiling effect’ at baseline, resulting in no significant improvement after the MBTP. These explanations are admittedly speculative, and future research is required before any definitive conclusions may be drawn.
A part of the results supports our hypothesis that a 12-week MBTP is beneficial to ASD children’s social communication. The findings were similar to existing studies that demonstrated that swimming, aerobics (Pan, 2010), horseback riding (Bass et al., 2009; Gabriels et al., 2012), Karate training (Movahedi et al., 2013) and leisure activity programs (Garcia-Villamisar and Dattilo, 2011) had positive effects on social communication with ASD children. In the present study, improvements observed in social communication may be attributed to repeating teachers’ movements during training sessions, which promoted children's social skills when learning basketball motor skills. One study reported that imitation treatment was an effective approach to improve social communication in ASD children (Ferraioli and Harris, 2011). There is also another possibility. To accomplish mini-basketball training, the inevitable communication behaviors with their partners or parent compelled children to yield social behaviors. Similar discoveries were found in Karate training, where social communication of children with ASD benefited from watching their peers practice (Movahedi et al., 2013). Moreover, basic social etiquettes, such as greeting peers, greeting parents or teachers and waiting in line during the basketball training sessions may also facilitate ASD children yield social behavior (Movahedi et al., 2013). More importantly, the MBTP session was presented to children in the form of a collective class, each training session was designed to induce and reinforce social communication behavior. Thus, our results demonstrated that the MBTP promoted social communication in children with ASD.
Although significant results were found in social awareness, social cognition, social communication, and autistic mannerisms, the effects on social motivation were not obvious, which was inconsistent with previous studies. A recent study showed that children with ASD exposed to therapeutic horseback riding exhibited greater social motivation (Bass et al., 2009). However, the MBTP was primarily directed towards sensory stimulation, emphasizing fine motor and perceptual skills, but not towards motivation training. In addition, the 12-week training period of the MBTP should last for a longer training period than in the current study, because of obvious social motivation changes. This is a plausible hypothesis as the other subscales were significant. Therefore, the follow-up observation is necessary to discover whether the MBTP gains are transient or persist if training continues.
Social and behavioral deficits among children with ASD make interaction with peers difficult, and such physical and social constraints had shown to reduce the physical fitness level in children with ASD (Pan and Frey, 2006). Meanwhile, the sedentary lifestyle not only affects a child’s general health and family dynamics, but may further isolate and deprive the child of social adaptive functions and skills (Yu et al., 2018). Our findings showed that the MBTP could improve physical fitness as well as social communication in preschool children with ASD. These findings also indicated that the MBTP may alter physical fitness in ASD leading to social communication gains. The speculation is only discussed in the theoretical perspective as there is no strong evidence to support this speculation. Future studies are warranted to explain this aspect.
The consistent improvement in social communication in the participants of the MBTP group in our study may also be explained from the neuroplasticity point of view. Extensive neuropsychological and neuroimaging evidence indicated that brain abnormalities in ASD were associated with social communication impairment (Fishman et al., 2015; Nickl-Jockschat et al., 2015; Shen et al., 2016). The latest study demonstrated that favorable environmental stimulation (music intervention) altered functional brain activity in ASD leading to social communication gains (Sharda et al., 2018). Physical exercise, as external stimulation, has also been shown to influence the plasticity of children’s brain development (Chen et al., 2016; Davis et al., 2011; Krafft et al., 2014a, 2014b). Therefore, we speculate that a 12-week MBTP might promote the enhancement of brain plasticity, which may improve the social communication of children with ASD. Since there was no research on the neural mechanism of sports to improve social communication in children with ASD, the above speculation is only discussed from the theoretical point of view. Although we did not collect any neuroimaging data in the current study, the neural mechanism should be further explored.
To our knowledge, the present study was the first to focus on the effect of an exercise intervention on physical fitness and social communication in a population of preschool children with ASD; it may mean that exercise plays an important role in the adjuvant treatment of ASD behavioral problems and motor abilities. In addition, our MBTP was a multidimensional training program that differed from previous training programs and included basic movement skill training and social behavior reinforcement. Furthermore, the present study had controlled the confounding variables as much as possible. Therefore, reliable training gains emerged in ASD physical fitness and social communication. However, there are still numerous aspects to be improved. Although the SRS-2 was an authoritative scale to assess children’s social communication impairment, the parent-reported measure was certainly subjective. However, no better assessment tool to evaluate preschool ASD children’s social communication impairment exists. Thus, generalization in terms of our program’s effects on social communication should proceed cautiously.
In summary, our study provides initial evidence that 12 weeks of the MBTP exerted a positive effect on physical fitness and social communication in preschool children with ASD. These enhancements further elucidate the potential application of mini-basketball training as a complementary intervention for rehabilitating social communication impairment and increasing physical fitness in preschool children with ASD.
Figure 1

Figure 2

Figure 3

Figure 4

Participant demographic characteristics (M ± SD).
| Variable | Control group | MBPT group |
|---|---|---|
| N | 15 | 15 |
| Gender (boys/girls) | 14/1 | 12/3 |
| Age (years) | 4.56 ± 0.84 | 5.03 ± 0.64 |
| BMI (height/weight2) | 16.48 ± 1.87 | 15.70 ± 1.33 |
| CARS CARS: Childhood Autism Rating Scale. | 38.73 ± 3.78 | 40.33 ± 6.33 |
| CSHQ CSHQ: Children’s Sleep Habits Questionnaire. | 58.13 ± 12.08 | 56.13 ± 5.02 |
| CEBQ CEBQ: Child Eating Behavior Questionnaire. | 54.27 ± 19.97 | 52.07 ± 9.69 |
Physical fitness and the SRS-2 performances ((M ± SD).
| Variable | Control Group (n = 15) | MBTP Group (n = 15) | ||
|---|---|---|---|---|
| Baseline | Posttest | Baseline | Posttest | |
| SRS-2 T-score | 84.33 ± 19.93 | 95.47 ± 22.30 | 97.53 ± 24.97 | 82.80 ± 27.83 |
| Social awareness | 10.40 ± 2.41 | 11.27 ± 2.60 | 12.60 ± 3.397 | 11.33 ± 4.15 |
| Social cognition | 17.20 ± 3.55 | 19.27 ± 3.91 | 20.13±5.26 | 17.00 ± 5.68 |
| Social communication | 30.60 ± 8.05 | 34.60 ± 8.65 | 35.07 ± 10.99 | 29.20 ± 10.00 |
| Social motivation | 14.27 ± 4.39 | 14.33 ± 4.23 | 15.67 ± 5.30 | 12.93 ± 4.94 |
| Autistic mannerisms | 11.87 ± 5.29 | 16.00 ± 6.37 | 14.07 ± 5.36 | 12.33 ± 5.58 |
| 2 × 10 m shuttle run (s) | 12.40 ± 3.06 | 11.69 ± 3.20 | 13.56 ± 3.97 | 9.95 ± 1.49 |
| Standing long jump (cm) | 37.00 ± 21.86 | 44.33 ± 21.37 | 41.2 ± 22.14 | 67.47 ± 16.16 |
| Sit-and-reach (cm) | 19.17 ± 2.73 | 17.70 ± 3.40 | 18.58 ± 5.58 | 20.23 ± 4.07 |
| Balance beam test (s) | 19.40 ± 11.02 | 16.28 ± 9.45 | 14.12 ± 7.97 | 8.48 ± 6.60 |
Impact of Centre-of-Mass Acceleration on Perceived Exertion, the Metabolic Equivalent and Heart Rate Reserve in Triathlete Spin Cycling: A Pilot Study The Effect of Inspiratory Muscle Training on the Pulmonary Function in Mixed Martial Arts and Kickboxing Athletes Thigh Muscularity and Sprinting Performance of National‐Level Long‐Distance Runners Day‐to‐day Variation of the Heart Rate, Heart Rate Variability, and Energy Expenditure during FIFA 11+ and Dynamic Warm‐up Exercises A Log-Linear Analysis of Efficiency in Wheelchair Basketball According to Player Classification The Impact of Internal Compensatory Mechanisms on Musculoskeletal Pain in Elite Polish Sitting Volleyball Players – A Preliminary Study Effects of Dual Task Interference on Biomechanics of the Entire Lower Extremity During the Drop Vertical Jump The Flywheel Device Shaft Shape Determines Force and Velocity Profiles in the Half Squat Exercise Agreement Between Kinovea Video Analysis and the Open Barbell System for Resistance Training Movement Outcomes Did the Absence of Crowd Support During the Covid-19 Pandemic Affect the Home Advantage in Brazilian Elite Soccer? Interacting Constraints and Relative Age Effect in Elite Cross-Country Skiers and Freeskiers Sports Injuries Among Players of the Polish National Team in Amputee Football in the Annual Training Cycle Evaluation of the Isometric and Dynamic Rates of Force Development in Multi-Joint Muscle Actions Validity of Performance Assessment Methods in Elite Paracanoeists Seasonal Training Load Monitoring Among Elite Level Soccer Players: Perceived Exertion and Creatine Kinase Variations Between Microcycles Ultrasound Shear Modulus and Thickness of Lateral Abdominal Muscles in Different Contractile States in Relation to Self‐ Reported Hip/Groin Problems in Youth Soccer Players Interactive Three-Phase Structure for Table Tennis Performance Analysis: Application to Elite Men’s Singles Matches Effect of Inter-Repetition Rest vs. Traditional Resistance Training on the Upper Body Strength Rate of Force Development and Triceps Brachii Muscle Architecture A Systematic Review of the Effects of Different Resistance Training Volumes on Muscle Hypertrophy Are Teams whose Players are More Committed to the Team More Resilient? The Role of Intra-Group Conflict A Systematic Review of Long‐Distance Triathlon Musculoskeletal Injuries Variations in Internal and External Training Load Measures and Neuromuscular Performance of Professional Soccer Players During a Preseason Training Period Small-Sided Soccer Games with Larger Relative Areas Result in Higher Physical and Physiological Responses: A Systematic and Meta-Analytical Review Post‐Exercise Cold‐ and Contrasting‐Water Immersion Effects on Heart Rate Variability Recovery in International Handball Female Players Mental Toughness Characteristics of Male University Athletes in Relation to Contextual Factors
